当前位置:
首页
>
政府信息公开
>
重点领域信息公开
>
食品药品监管
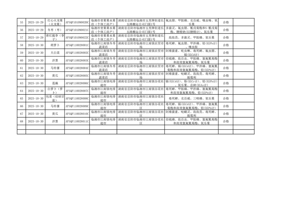
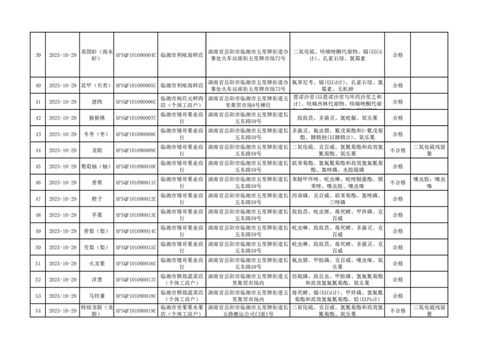
临湘市市场监督管理局2025年“四季度食用农产品”抽检公示
来源:临湘市市场监督管理局
日期: 2025-12-08 09:19
浏览量:
1
|
|
|
|