当前位置:
首页
>
政府信息公开
>
重点领域信息公开
>
食品药品监管
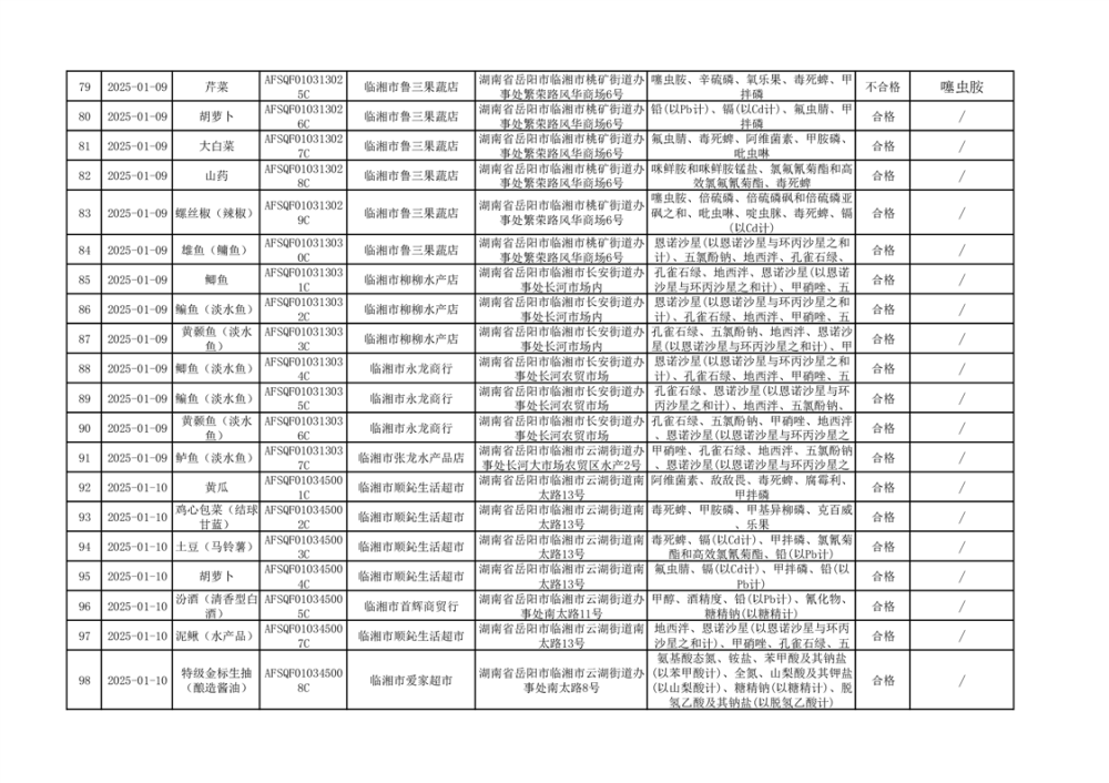
2025年临湘市市场监督管理局“年关守护”抽检信息公示(一)
来源:临湘市市场监督管理局
日期: 2025-02-06 10:02
浏览量:
1
|
|
|
|