当前位置:
首页
>
政务公开
>
规划计划
>
工作计划
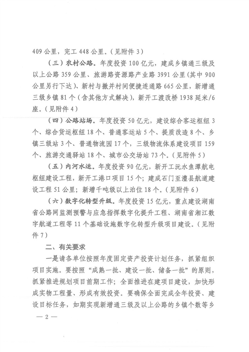
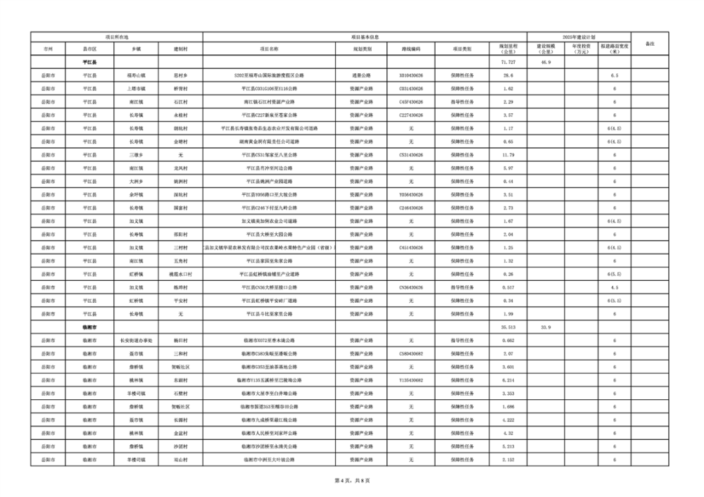
关于下达2025年度交通运输固定资产投资计划的通知
来源:临湘市交通运输局
日期: 2025-11-12 15:32
浏览量:
1
|
|
|
|